Test Bank For Oral Pathology for the Dental Hygienist 8th Edition Ibsen
Original price was: $85.00.$55.00Current price is: $55.00.
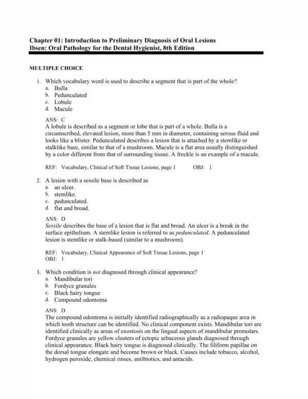
The Oral Pathology for the Dental Hygienist 8th Edition Test Bank is a comprehensive oral pathology for the dental hygienist test bank designed to enhance understanding of oral disease concepts. It features NCLEX-style and case-based questions with detailed rationales that reinforce diagnostic and clinical decision-making skills. Perfect for exam preparation, concept mastery, and building confidence in oral pathology for dental hygiene practice.
🔒 Safe & Secure Checkout
What's Inside?
Comprehensive Chapter Coverage
Diverse Question Types
Verified Answers
Why Nurselib?
Extensive ResourcesWide range for any subject
Expert ContentCrafted for accuracy and quality
Effortless LearningSimplified for clarity
AffordableTop-quality resources at low prices
Confidence BoostExplanations and practice questions
Reliable SupportHelp for all questions
Device CompatibilityStudy on any device.
Instant AccessDownload and start right away.
Regular UpdatesAligned with the latest editions.
Got Questions? We’ve Got You Covered!
What’s Included
- Comprehensive Questions – NCLEX-style and case-based items focusing on oral pathology concepts relevant to dental hygiene practice.
- Detailed Answer Rationales – Clear explanations supporting clinical understanding and reinforcing oral disease recognition and prevention.
- Chapter-Based Organization – Structured by major oral pathology topics for focused exam preparation and efficient review.
- Realistic Case Studies – Application-based scenarios connecting oral lesions, diagnostic methods, and patient management.
- Clinical Correlation Questions – Strengthen interpretation of oral conditions and enhance decision-making in dental hygiene care.
- Terminology and Concept Review – Covers oral pathology terminology, disease progression, and diagnostic features essential for exams.
- Evidence-Based Focus – Reflects current research and standards in oral pathology for informed and professional practice.
The Oral Pathology for the Dental Hygienist 8th Edition Test Bank is a comprehensive resource designed to help dental hygiene students master oral disease concepts and exam readiness. This oral pathology for the dental hygienist test bank includes NCLEX-style questions, detailed rationales, and clinical scenarios that promote critical thinking and diagnostic accuracy. Related materials such as oral pathology case studies, clinical hygiene review questions, and oral disease identification exercises enhance understanding of pathology terminology and real-world application. Developed to align with modern dental hygiene education, it enables students to identify, interpret, and manage oral conditions confidently. Ideal for course preparation, skill reinforcement, and comprehensive review of pathology principles in dental hygiene practice.
Questions? Call +1 (251) 315-4910 or email us:[email protected].
Only logged in customers who have purchased this product may leave a review.














Reviews
There are no reviews yet.