Test Bank For Hamric and Hanson’s Advanced Practice Nursing 7th Edition Mary Fran Tracy
Original price was: $85.00.$55.00Current price is: $55.00.
The Hamric and Hanson’s Advanced Practice Nursing 7th Edition Test Bank is a comprehensive study resource designed for advanced nursing students. This hamric and hanson’s advanced practice nursing 7th edition test bank features case-based and analytical questions with detailed rationales for deeper understanding. Perfect for exam preparation, professional role development, and mastering advanced clinical concepts essential for nurse practitioners and graduate-level nursing education.
🔒 Safe & Secure Checkout
What's Inside?
Comprehensive Chapter Coverage
Diverse Question Types
Verified Answers
Why Nurselib?
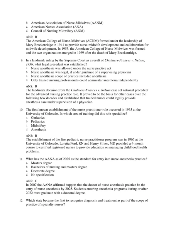
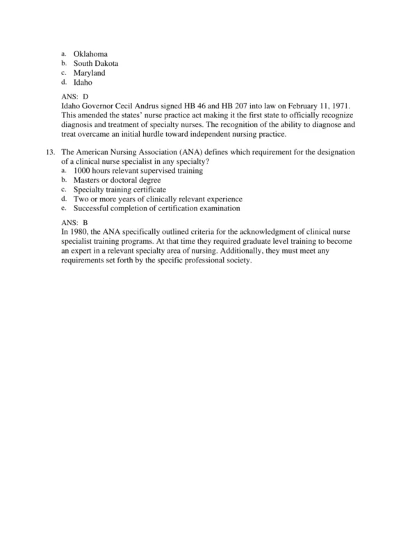
Extensive ResourcesWide range for any subject
Expert ContentCrafted for accuracy and quality
Effortless LearningSimplified for clarity
AffordableTop-quality resources at low prices
Confidence BoostExplanations and practice questions
Reliable SupportHelp for all questions
Device CompatibilityStudy on any device.
Instant AccessDownload and start right away.
Regular UpdatesAligned with the latest editions.
Got Questions? We’ve Got You Covered!
What’s Included
- Comprehensive Questions – Includes diverse case-based and knowledge-based questions to assess understanding of advanced practice nursing concepts and clinical roles.
- Detailed Answer Rationales – Provides clear explanations for each question to support evidence-based decision-making and critical reasoning development.
- Chapter-Organized Content – Structured to align with Hamric and Hanson’s Advanced Practice Nursing 7th Edition for focused topic review and efficient studying.
- Clinical Scenarios – Features advanced clinical examples to help students apply theoretical knowledge in practical settings and enhance clinical judgment.
- Exam Preparation Support – Reinforces professional role development, leadership principles, and interdisciplinary collaboration within advanced practice nursing education.
- Updated Edition Alignment – Reflects current trends and competencies as outlined in the latest 7th Edition of the textbook by Mary Fran Tracy.
- Flexible Study Resource – Suitable for nurse practitioner students, educators, and exam candidates seeking mastery of advanced practice nursing standards.
The Test Bank for Hamric and Hanson’s Advanced Practice Nursing 7th Edition by Mary Fran Tracy is a comprehensive resource designed to support advanced nursing education and assessment. This hamric and hanson’s advanced practice nursing 7th edition test bank offers a blend of analytical, case-based, and knowledge-level questions that mirror real-world scenarios. Featuring detailed rationales and organized by chapter, it promotes mastery of professional practice, leadership, and clinical reasoning. Related keywords such as advanced nursing questions, clinical reasoning practice, and nurse practitioner exam prep fit naturally within the content’s scope. Ideal for graduate-level nursing students, this test bank enhances understanding of advanced practice frameworks, healthcare policy, and interprofessional collaboration to ensure readiness for exams and real-world application.
Questions? Call +1 (251) 315-4910 or email us:[email protected].
Only logged in customers who have purchased this product may leave a review.














Reviews
There are no reviews yet.