Test Bank For Maternity and Women’s Health Care 12th Edition Lowdermilk
Original price was: $55.00.$15.00Current price is: $15.00.
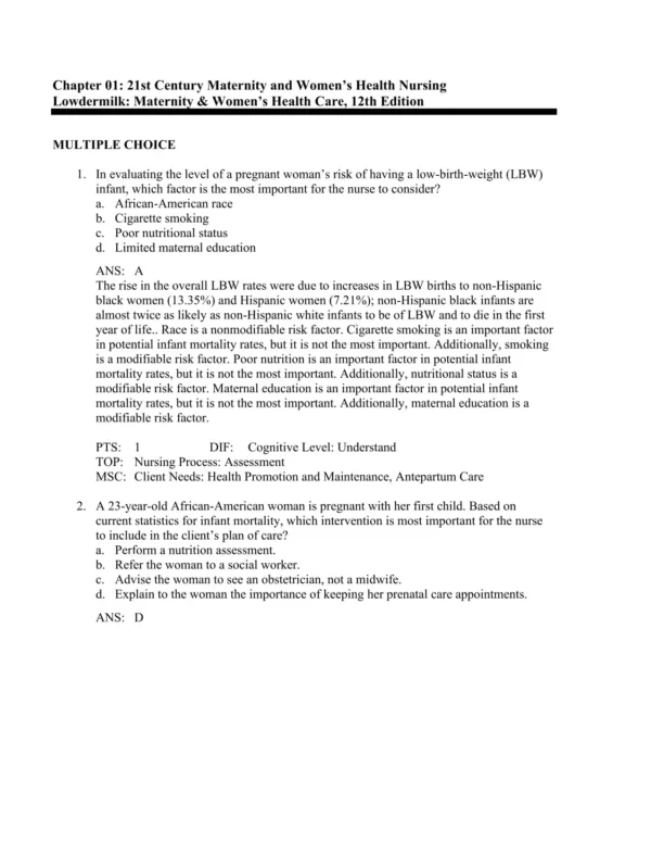
The Maternity and Women’s Health Care 12th Edition Test Bank by Lowdermilk is a comprehensive study resource designed for maternity nursing courses. This Maternity and Women’s Health Care Test Bank 12th Edition Lowdermilk includes NCLEX-style questions, detailed rationales, and chapter-based organization for effective learning. Perfect for mastering maternity and newborn nursing concepts, preparing for exams, and building clinical confidence in women’s health care.
🔒 Safe & Secure Checkout
What's Inside?
Comprehensive Chapter Coverage
Diverse Question Types
Verified Answers
Why Nurselib?
Extensive ResourcesWide range for any subject
Expert ContentCrafted for accuracy and quality
Effortless LearningSimplified for clarity
AffordableTop-quality resources at low prices
Confidence BoostExplanations and practice questions
Reliable SupportHelp for all questions
Device CompatibilityStudy on any device.
Instant AccessDownload and start right away.
Regular UpdatesAligned with the latest editions.
Got Questions? We’ve Got You Covered!
What’s Included
- Comprehensive Questions – Includes NCLEX-style and clinical scenario questions focused on maternity and women’s health concepts.
- Detailed Rationales – Provides explanations for both correct and incorrect answers to reinforce learning and critical thinking.
- Chapter-Based Organization – Questions aligned with each textbook chapter for structured and targeted exam preparation.
- Realistic Exam Format – Multiple choice, select-all-that-apply, and case-based items designed to mirror nursing exams.
- Clinical Application Focus – Enhances understanding of prenatal, intrapartum, and postpartum nursing care through applied learning.
- Comprehensive Coverage – Covers maternal and newborn care, women’s reproductive health, and patient education topics.
- Study Support – Ideal for self-paced learning, course exams, and NCLEX maternity question review.
The Maternity and Women’s Health Care 12th Edition by Deitra Leonard Lowdermilk Test Bank provides nursing students with a complete resource for mastering maternity concepts. This Maternity and Women’s Health Care Test Bank 12th Edition Lowdermilk features NCLEX-style questions, detailed rationales, and chapter-specific content to strengthen clinical understanding. With related topics such as maternal newborn nursing, prenatal care, and women’s health nursing exam prep, this resource helps students develop confidence and competence in evidence-based care. Perfect for NCLEX preparation, maternity coursework, and enhancing nursing clinical decision-making skills.
Questions? Call +1 (251) 315-4910 or email us:[email protected].
Only logged in customers who have purchased this product may leave a review.














Reviews
There are no reviews yet.