Test Bank For Nursing Delegation and Management of Patient Care 3rd Edition
Original price was: $85.00.$55.00Current price is: $55.00.
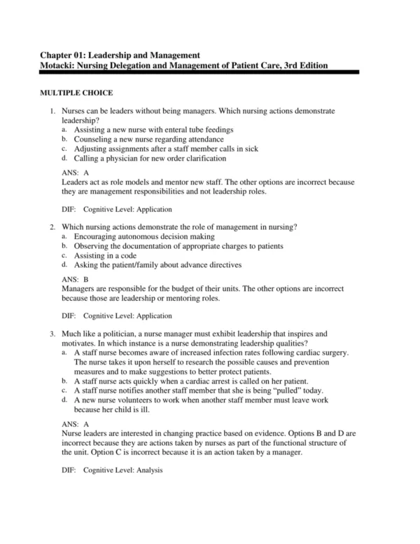
The nursing delegation and management of patient care test bank 3rd edition is a comprehensive nursing delegation and management of patient care 3rd edition test bank designed to enhance leadership and teamwork skills. It features NCLEX-style questions with detailed rationales covering delegation, supervision, and patient safety principles. Perfect for exam preparation, concept mastery, and building confidence in nursing management and clinical decision-making.
🔒 Safe & Secure Checkout
What's Inside?
Comprehensive Chapter Coverage
Diverse Question Types
Verified Answers
Why Nurselib?
Extensive ResourcesWide range for any subject
Expert ContentCrafted for accuracy and quality
Effortless LearningSimplified for clarity
AffordableTop-quality resources at low prices
Confidence BoostExplanations and practice questions
Reliable SupportHelp for all questions
Device CompatibilityStudy on any device.
Instant AccessDownload and start right away.
Regular UpdatesAligned with the latest editions.
Got Questions? We’ve Got You Covered!
What’s Included
- Comprehensive Question Coverage – Includes a variety of nursing delegation and management scenarios to develop leadership and decision-making skills.
- Detailed Answer Rationales – Each question provides clear explanations to reinforce understanding of patient care prioritization and safe nursing practice.
- Updated 3rd Edition Content – Reflects current healthcare management standards, delegation frameworks, and interprofessional collaboration principles.
- NCLEX-Style Practice Questions – Helps students prepare for real exam conditions while strengthening clinical judgment and communication strategies.
- Leadership and Teamwork Focus – Emphasizes nursing leadership, supervision, and task delegation across patient care environments.
- Instant Digital Access – Download and study on any device with easy navigation and organized chapter-based question sets.
- Evidence-Based Scenarios – Derived from authentic clinical management examples for realistic, practice-oriented learning.
The Test Bank For Nursing Delegation and Management of Patient Care 3rd Edition is an essential resource for students and educators seeking to master effective team coordination and patient care oversight. This nursing delegation and management of patient care test bank 3rd edition offers NCLEX-style practice questions with detailed rationales designed to strengthen critical thinking, prioritization, and leadership skills. Each chapter integrates real-world delegation scenarios and evidence-based approaches to nursing management. Related keywords include nursing leadership, clinical decision making, delegation principles, and management study guide. Ideal for exam preparation, course review, and professional skill-building, it supports learners in developing confidence and competence in managing patient care responsibilities effectively within complex healthcare settings.
Questions? Call +1 (251) 315-4910 or email us: [email protected].
Only logged in customers who have purchased this product may leave a review.














Reviews
There are no reviews yet.