Test Bank For Hannon & Porth Porth Pathophysiology Concepts Of Altered Health States 2nd Canadian Edition
Original price was: $35.00.$14.95Current price is: $14.95.
The Porth Pathophysiology Canadian 2nd Edition Test Bank provides nursing students with comprehensive practice questions designed to reinforce understanding of disease processes and altered health states. This resource features detailed rationales that support clinical reasoning and help students connect pathophysiological concepts to patient care scenarios. Ideal for preparing for course exams and strengthening your grasp of essential pathophysiology principles covered in the Hannon and Porth textbook.
Key Features
- Complete Test Bank – Comprehensive questions covering all chapters in the Second Canadian Edition.
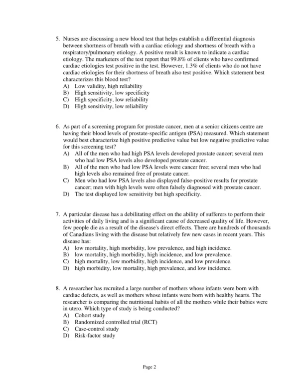
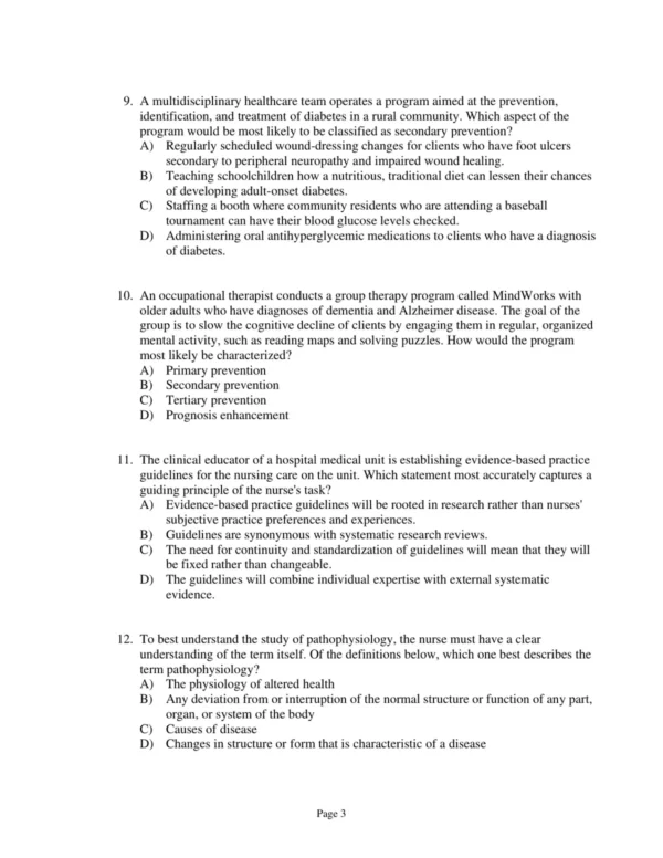
- Instant Digital Download – Receive your file immediately after purchase, no waiting required.
- Exam-Focused Questions – Questions mirror the style and difficulty of actual course assessments.
- Canadian Content – Aligned specifically with Canadian healthcare standards and clinical practice.
- Multiple Question Types – Includes multiple choice, true/false, and critical thinking formats for thorough preparation.
- Clear Answer Keys – Every question includes correct answers to support effective self-study.
- Chapter Organization – Questions are arranged by chapter for targeted review and practice.
The Porth Pathophysiology Canadian 2nd Edition Test Bank provides nursing students with practice questions aligned to Hannon and Porth’s textbook. This resource helps students prepare for quizzes, midterms, and final exams with relevant question formats.
Students use this test bank to identify knowledge gaps and practice applying pathophysiology concepts before assessments. The questions reflect the Canadian edition content, making study sessions more efficient and exam preparation more focused on course-specific material.
Questions? Call +1 (251) 315-4910 or email [email protected].
Only logged in customers who have purchased this product may leave a review.


























Reviews
There are no reviews yet.