Test Bank For The Language of Medicine 11th Edition Chabner
Original price was: $35.00.$14.95Current price is: $14.95.
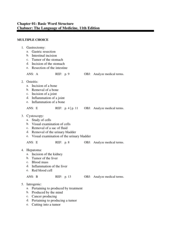
The Language of Medicine 11th Edition Test Bank is a comprehensive study resource featuring NCLEX-style questions and detailed rationales. Designed to reinforce understanding of medical terminology, it helps students connect word roots, prefixes, and suffixes to clinical contexts. Perfect for mastering terminology, improving comprehension, and preparing effectively for exams and professional assessments.
🔒 Safe & Secure Checkout
What's Inside?
Comprehensive Chapter Coverage
Diverse Question Types
Verified Answers
Why Nurselib?
Extensive ResourcesWide range for any subject
Expert ContentCrafted for accuracy and quality
Effortless LearningSimplified for clarity
AffordableTop-quality resources at low prices
Confidence BoostExplanations and practice questions
Reliable SupportHelp for all questions
Device CompatibilityStudy on any device.
Instant AccessDownload and start right away.
Regular UpdatesAligned with the latest editions.
Got Questions? We’ve Got You Covered!
What’s Included
- Comprehensive Test Bank – Covers key topics from The Language of Medicine 11th Edition
- Multiple Choice Questions – Includes NCLEX-style questions with multiple options
- Answer Explanations – Provides detailed rationales for each correct answer
- Chapter Coverage – Questions organized by chapter for systematic study
- Study Questions – Focused questions to help reinforce core concepts
- NCLEX Exam Prep – Prepares you for NCLEX-style questions with practice exams
The Test Bank For The Language of Medicine 11th Edition offers a comprehensive set of study materials to enhance your understanding of medical terminology and concepts. This test bank includes NCLEX-style questions and detailed answer rationales, providing you with a thorough understanding of the material. It is designed to help students prepare for exams and improve their grasp of complex medical language. The The Language of Medicine 11th Edition test bank covers key concepts from each chapter, making it an essential tool for mastering the material. With its clear structure and study-focused questions, this resource is ideal for anyone looking to improve their exam performance and build confidence for future tests.
Questions? Call +1 (251) 315-4910 or email us:[email protected].
Only logged in customers who have purchased this product may leave a review.














Reviews
There are no reviews yet.