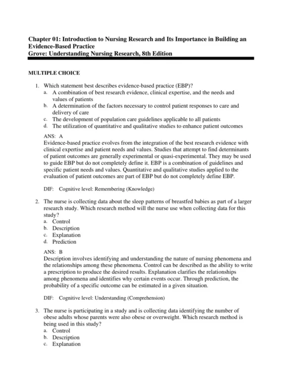
Test Bank For Understanding Nursing Research 8th Edition
Original price was: $85.00.$55.00Current price is: $55.00.
The Understanding Nursing Research 8th Edition Test Bank is a comprehensive study resource featuring NCLEX-style questions with detailed rationales. Perfect for reinforcing research methodologies and statistical analysis concepts, this test bank supports course exam preparation and enhances critical thinking skills. Ideal for mastering nursing research principles and boosting exam confidence.
🔒 Safe & Secure Checkout
What's Inside?
Comprehensive Chapter Coverage
Diverse Question Types
Verified Answers
Why Nurselib?
Extensive ResourcesWide range for any subject
Expert ContentCrafted for accuracy and quality
Effortless LearningSimplified for clarity
AffordableTop-quality resources at low prices
Confidence BoostExplanations and practice questions
Reliable SupportHelp for all questions
Device CompatibilityStudy on any device.
Instant AccessDownload and start right away.
Regular UpdatesAligned with the latest editions.
Got Questions? We’ve Got You Covered!
What’s Included
- NCLEX-Style Questions – Detailed questions to practice for the NCLEX exam.
- Answer Explanations – Clear rationales for each question to enhance understanding.
- Comprehensive Coverage – Topics aligned with Understanding Nursing Research 8th Edition.
- Clinical Scenarios – Case-based questions to apply theoretical knowledge to real-world settings.
- Chapter Breakdown – Practice questions organized by chapter for focused learning.
The Understanding Nursing Research 8th Edition Test Bank offers a comprehensive study resource with NCLEX-style questions, answer rationales, and case studies. This test bank is designed to help students master key concepts in nursing research and prepare effectively for exams. With a focus on critical thinking and research application, students will be well-equipped to ace their exams and build confidence in their nursing research knowledge.
Questions? Call +1 (251) 315-4910 or email us:[email protected].
Only logged in customers who have purchased this product may leave a review.














Reviews
There are no reviews yet.