Test Bank For Wong’s Essentials of Pediatric Nursing 10th Edition
Original price was: $85.00.$55.00Current price is: $55.00.
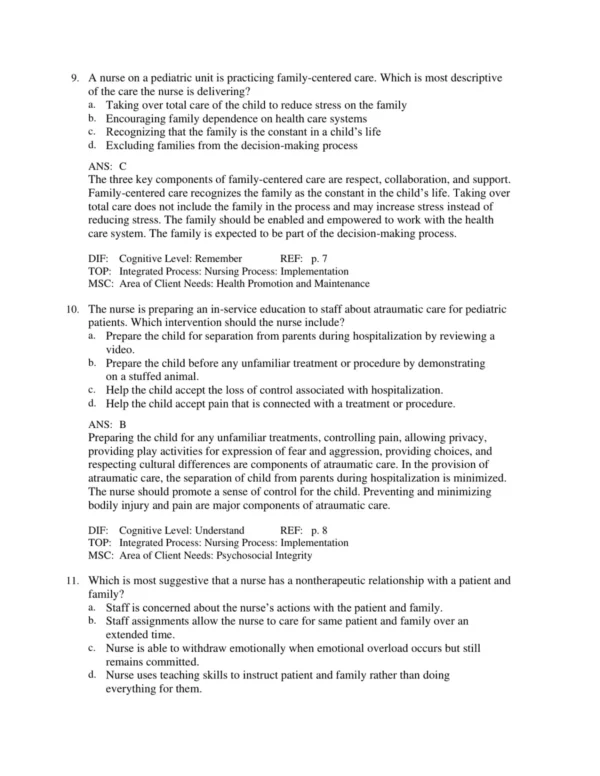
The Wong’s Essentials of Pediatric Nursing 10th Edition Test Bank is a comprehensive study resource featuring NCLEX-style questions with detailed rationales. It covers key pediatric nursing concepts, offering practice questions with thorough explanations. Perfect for exam preparation and building clinical confidence in pediatric nursing.
🔒 Safe & Secure Checkout
What's Inside?
Comprehensive Chapter Coverage
Diverse Question Types
Verified Answers
Why Nurselib?
Extensive ResourcesWide range for any subject
Expert ContentCrafted for accuracy and quality
Effortless LearningSimplified for clarity
AffordableTop-quality resources at low prices
Confidence BoostExplanations and practice questions
Reliable SupportHelp for all questions
Device CompatibilityStudy on any device.
Instant AccessDownload and start right away.
Regular UpdatesAligned with the latest editions.
Got Questions? We’ve Got You Covered!
What’s Included
- Comprehensive NCLEX-style questions – Covering all major pediatric nursing topics
- Detailed answer rationales – Explanations for correct and incorrect answers
- Practice questions – Focused on pediatric nursing concepts and exam strategies
- Chapter-specific content – Exam questions aligned with the 10th Edition curriculum
- Study aid materials – Designed to reinforce key concepts and boost clinical understanding
The Wong’s Essentials of Pediatric Nursing 10th Edition Test Bank is a comprehensive study resource designed to help nursing students master pediatric nursing concepts. Featuring NCLEX-style questions with detailed rationales, this test bank provides essential practice for preparing for exams and developing clinical confidence. Perfect for reinforcing pediatric care knowledge, it covers the full spectrum of topics in the 10th Edition of Wong’s Essentials of Pediatric Nursing, ensuring a thorough understanding and solid preparation for the NCLEX.
Questions? Call +1 (251) 315-4910 or email us:[email protected].
Only logged in customers who have purchased this product may leave a review.














Reviews
There are no reviews yet.