Test Bank For Canadian Jensen’s Nursing Health Assessment A Best Practice Approach Enhanced Reprint Tracey C. Stephen
Original price was: $35.00.$14.95Current price is: $14.95.
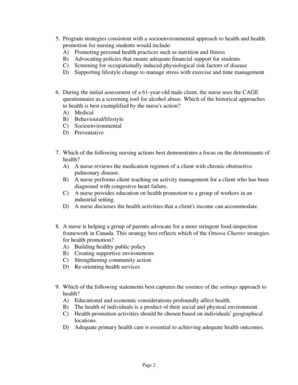
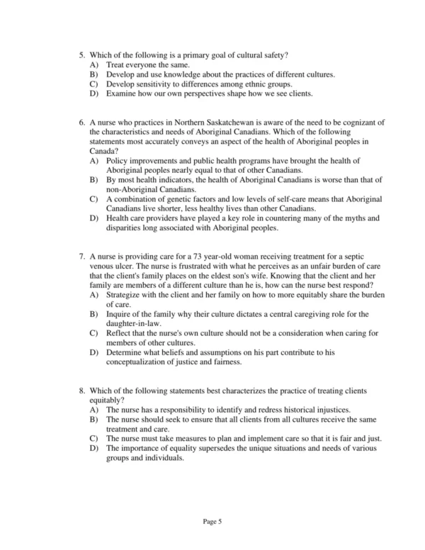
The Canadian Jensen Nursing Health Assessment Test Bank provides comprehensive practice questions and detailed rationales designed to support nursing students preparing for health assessment courses. This resource reinforces clinical reasoning, physical examination techniques, and patient interview skills aligned with Canadian nursing practice standards. It helps students strengthen their assessment competencies and build confidence for course examinations and practical applications.
🔒 Safe & Secure Checkout
What's Inside?
Comprehensive Chapter Coverage
Diverse Question Types
Verified Answers
Why Nurselib?
Extensive ResourcesWide range for any subject
Expert ContentCrafted for accuracy and quality
Effortless LearningSimplified for clarity
AffordableTop-quality resources at low prices
Confidence BoostExplanations and practice questions
Reliable SupportHelp for all questions
Device CompatibilityStudy on any device.
Instant AccessDownload and start right away.
Regular UpdatesAligned with the latest editions.
Got Questions? We’ve Got You Covered!
Key Features
- Comprehensive Test Coverage – Aligned with every chapter to help you prepare thoroughly for assessments.
- Canadian Healthcare Context – Reflects Canadian nursing standards, practices, and clinical scenarios throughout.
- Multiple Question Formats – Includes various question types to match real exam conditions and testing styles.
- Instant Digital Access – Download immediately after purchase and start studying without any waiting period.
- Detailed Answer Rationales – Understand why answers are correct to deepen your comprehension and retention.
- Enhanced Reprint Content – Updated material that corresponds with the latest edition of the textbook.
- Efficient Exam Preparation – Focus your study time on high-yield content and identify knowledge gaps quickly.
The Canadian Jensen Nursing Health Assessment Test Bank provides nursing students with targeted practice materials designed specifically for this textbook. It covers essential health assessment concepts within a Canadian healthcare framework.
Students use this test bank to practice before midterms and finals, helping them become familiar with question formats and key concepts. The structured format allows you to quiz yourself on specific topics, track your progress, and build confidence before sitting for actual course examinations.
Questions? Call +1 (251) 315-4910 or email [email protected].
Only logged in customers who have purchased this product may leave a review.


























Reviews
There are no reviews yet.